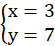
x – liczba autokarów 18-osobowych
y – liczba autokarów 40-osobowych
Firma posiada 3 samochody 18 – osobowe i 3 40 – osobowe.
Oznacz jako x liczbę samochodów 18 – osobowych, a jako y liczbę samochodów 40 – osobowych. Z treści zadania wynika, że firma transportowa ma łącznie 10 autokarów, napisz więc równanie:
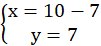
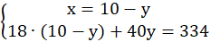
x + y = 10
Z treści zadania wynika również, że firma może przewieźć łącznie 334 osoby. Każdy 18-osobowy autokar przewozi 18 osób, a każdy 40-osobowy autokar przewozi 40 osób. Możesz, więc napisać drugie równanie:
18x + 40y = 334
Układ równań rozwiąż metodą podstawiania. Wyznacz x, przenosząc y na drugą stronę równania. Następnie za x podstaw wyliczoną wartość. Wylicz y, następnie do pierwszego równania podstaw wyliczoną wartość i wylicz x.