Zadanie

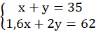
W tym zadaniu oznacz niewiadome oraz stwórz układ równań na podstawie podanych informacji: Ania posadziła w ogrodzie poziomki i truskawki. Kupiła łącznie 35 sadzonek za 62 zł: truskawek po 1,6 zł za sztukę oraz poziomek po 2 zł za sztukę.

Rozwiązanie

Wyjaśnienie

Zadania z tego działu
Rozdział V. Układ równań liniowych
89
Powtórzenie rozdziału. Układy równań liniowych. Zadania podsumowujące
105
Powtórzenie rozdziału. Układy równań liniowych. Sprawdź, czy potrafisz
106