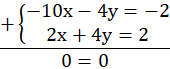
Układ jest nieoznaczony.
A. Układ równań
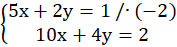
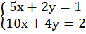
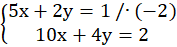
C. Układ równań
Pomnóż pierwsze równanie przez (-2), aby otrzymać przy niewiadomej x liczby przeciwne, a następnie dodaj do siebie równania.
Wszystkie niewiadome oraz wiadome się redukują, co oznacza, że układ równań jest nieoznaczony, ponieważ układ równań ma nieskończenie wiele rozwiązań.
Podstaw x = 1 oraz y = -2 do układ równań i wykonaj obliczenia.
W obu równaniach lewa strona jest równa prawej, więc para liczb (1, 2) spełnia układ równań.