W tym zadaniu musisz obliczyć, o ile procent pole figury F jest większe od pola figury F, wiedząc, że obwód figury F jest o 40% większy od obwodu figury F1.
Rozwiązanie
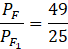
Pole figury F jest większe od pola figury F o 96%.
Poprawną odpowiedzią jest odp. D.
Wyjaśnienie
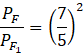
Skala podobieństwa obwodów wynosi , natomiast skala podobieństwa pól wynosi . Zatem pole figury jest większe od pola figury o .