Trójkąty ABE i DEC są podobne na mocy cechy kkk, a więc:
Zatem:
Pola trójkątów ABE i DEA można zapisać:
Pole trapezu jest równe sumie pól wszystkich trójkątów, a więc:
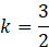
Zauważ, że trójkąty ABE i DEC są podobne na mocy cechy kkk, skala ich podobieństwa jest równa
Korzystając z tego faktu, wyznacz stosunek długości boków AE, CE i BE, DE. Następnie wyznacz pola trójkątów ABE i DEA, podstawiając do wzoru obliczone dane. A na końcu zsumuj wszystkie pola trójkątów, aby obliczyć pole trapezu ABCD.