Zadanie

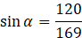
W tym zadaniu musisz obliczyć pole rombu, sinus kąta ostrego oraz ustalić, czy jest on większy, czy mniejszy od wiedząc, że przekątne mają długość 24 i 10.

Rozwiązanie

Wyjaśnienie

Zadania z tego działu
Geometria płaska – pole czworokąta
157
Mapa. Skala mapy
178