Aby obliczyć największe pole, zapisuje pole trapezu za pomocą funkcji:
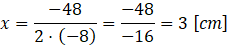
Największe pole będzie dla argumentu, w którym znajduje się wierzchołek tej funkcji, a więc:
Podstawy są równe 9 cm i 3 cm, a wysokość jest równa 12 cm.
Długość boku trapezu obliczam, korzystając z twierdzenia Pitagorasa:
Pole tego trapezu jest równe:
Zapisz wszystkie zależności zachodzące pomiędzy x i h. Następnie wyznacz największe pole za pomocą funkcji