Zadanie

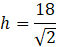
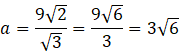
W tym zadaniu musisz obliczyć pole trapezu, wiedząc, że krótsza podstawa ma długość , a kąty trapezu przy tej podstawie są równe i , a dłuższe ramię ma długość 18.

Rozwiązanie

Wyjaśnienie

Zadania z tego działu
Geometria płaska – pole czworokąta
157
Mapa. Skala mapy
178