Zadanie

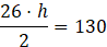
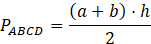
W tym zadaniu musisz obliczyć wysokość trapezu ABCD wiedząc, że w trapezie ABCD odcinki AB i DC są podstawami, pole trapezu ABCD jest równe , na ramieniu AD zaznaczono punkt E, a na ramieniu BC zaznaczono punkt F w taki sposób, że trapez EFCD jest podobny do trapezu ABFE. Długość odcinka EF to 12 cm, a pole trapezu EFCD jest o mniejsze od pola trapezu ABFE.

Rozwiązanie

Wyjaśnienie

Zadania z tego działu
Geometria płaska – pole czworokąta
157
Mapa. Skala mapy
178