W tym zadaniu musisz wykazać, że pola trójkątów AED i BCE są równe, wiedząc, że w trapezie ABCD, , przekątne przecinają się w punkcie E.
Co oznacza, że , co należało wykazać.
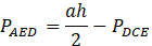
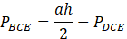
Aby wykazać, że pola trójkątów AED i BCE są równe, opisz kolejno pole trójkąta AED jako oraz pole trójkąta BCE jako . Oznacza to, że .
Zadanie 1.
Zadanie 2.
Zadanie 3.
Zadanie 4.
Zadanie 5.
Podpunkt a)
Podpunkt b)
Zadanie 6.
Zadanie 7.
Zadanie 8.
Zadanie 9.
Zadanie 10.
Zadanie 11.
Zadanie 12.
Zadanie 13.
Podpunkt 1)
Podpunkt 2)
Podpunkt c)
Zadanie 14.
Zadanie 15.
Zadanie 16.
Zadanie 17.
Zadanie 18.
Zadanie 19.