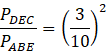
Trójkąty ABE i DEC są podobne na mocy cechy kkk.
Zatem:
Trójkąt DEC ma pole równe
Pole trójkąta ADC jest równe:
Pole trójkąta BCD jest równe polu trójkąta ADC:
Pole trapezu ABCD wynosi:
Na początku wykonaj rysunek i zauważ, że trójkąty ABE i DEC są podobne na mocy cechy kkk, wynika z tego zatem skala podobieństwa równa