W tym zadaniu musisz obliczyć skalę podobieństwa figury do figury wiedząc, że pole figury stanowi 0,16 pola figury .
Skala podobieństwa figury do figury wynosi .
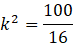
Pola figur są podobne do siebie w skali , co oznacza, że skala k wynosi .
Zadanie 1.
Zadanie 2.
Zadanie 3.
Zadanie 4.
Zadanie 5.
Podpunkt a)
Podpunkt b)
Zadanie 6.
Zadanie 7.
Zadanie 8.
Zadanie 9.
Zadanie 10.
Zadanie 11.
Zadanie 12.
Zadanie 13.
Podpunkt 1)
Podpunkt 2)
Podpunkt c)
Zadanie 14.
Zadanie 15.
Zadanie 16.
Zadanie 17.
Zadanie 18.
Zadanie 19.