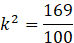
W tym zadaniu musisz obliczyć skalę podobieństwa kwadratu do kwadratu wiedząc, że pole kwadratu jest o 69% większe od pola kwadratu .
Skala podobieństwa kwadratu do kwadratu wynosi .
Pola kwadratów są podobne do siebie w skali , co oznacza, że skala k wynosi .
Zadanie 1.
Zadanie 2.
Zadanie 3.
Zadanie 4.
Zadanie 5.
Podpunkt a)
Podpunkt b)
Zadanie 6.
Zadanie 7.
Zadanie 8.
Zadanie 9.
Zadanie 10.
Zadanie 11.
Zadanie 12.
Zadanie 13.
Podpunkt 1)
Podpunkt 2)
Podpunkt c)
Zadanie 14.
Zadanie 15.
Zadanie 16.
Zadanie 17.
Zadanie 18.
Zadanie 19.