W tym zadaniu musisz obliczyć długość drugiej przekątnej pewnego czworokąta wypukłego, wiedząc, że przekątne przecinają się pod kątem , pole tego czworokąta jest równe , a jedna przekątna ma długość 8 cm. Wynik podaj z dokładnością do 0,1 cm.
Rozwiązanie
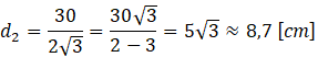
Druga przekątna ma długość około .
Wyjaśnienie
Oblicz długość drugiej przekątnej korzystając ze wzoru .