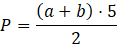
W tym zadaniu musisz obliczyć długość odcinka łączącego środki ramion tego trapezu, wiedząc, że wysokość jest równa 5 cm, a pole wynosi .
Rozwiązanie
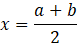
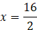
Długość odcinka łączącego środki ramion trapezu jest równa:
Wyjaśnienie
Aby obliczyć długość odcinka łączącego środki ramion trapezu, musisz obliczyć sumę podstaw, korzystając z podanego w treści zadania pola. Rozwiąż równanie , aby wyznaczyć szukaną sumę. A następnie podstaw jej wartość do wzoru .