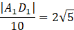
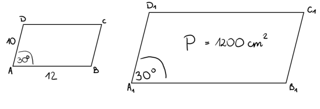
W tym zadaniu musisz obliczyć obwód równoległoboku wiedząc, że w równoległoboku ABCD nie równoległe boki mają długość 12 cm i 10 cm, pole równoległoboku jest równe , a jego kąt ostry ma miarę .
Rozwiązanie
Obwód równoległoboku jest równy:
Wyjaśnienie
Korzystając ze skali podobieństwa oblicz długości boków , . Następnie zsumuj wszystkie boki tego równoległoboku, aby uzyskać jego obwód.