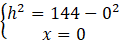
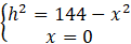
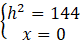
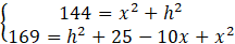
W tym zadaniu musisz obliczyć pole trapezu, wiedząc, że podstawy trapezu mają długość i , zaś długości ramion są równe i .
Rozwiązanie
Pole trapezu jest równe:
Wyjaśnienie
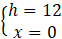
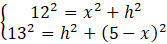
Rozwiąż układ równań z dwoma równaniami, które opisują zależność pomiędzy x i h. Wyznacz wartości liczbowe tych niewiadomych. Oblicz pole trapezu podstawiając dane do wzoru .