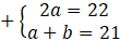
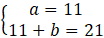
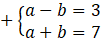
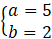
Rozwiązuję układ równań z równaniami z pierwszego przypadku:
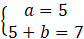
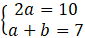
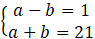
Rozwiązuję układ równań z równaniami z drugiego przypadku:
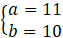
Boki tych kwadratów są równe 11 i 10 lub 5 i 2.
Rozwiąż układ równań z dwoma równaniami, które opisują zależność pomiędzy długościami boków kwadratów. Oba równania dotyczą treści zadania. Długości boków tych kwadratów mają 11 i 10 lub 5 i 2.