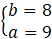
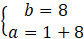
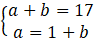
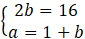
a – liczba naturalna
b – liczba naturalna
Z warunków zadania:
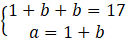
Aby powyższe równanie było spełnione
Długości boków kwadratów to 8 i 9.
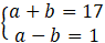
Rozwiąż układ równań z dwoma równaniami, które opisują zależność pomiędzy długościami boków kwadratów. Oba równania dotyczą treści zadania. Długości boków tych kwadratów mają długości 8 i 9.