Skul.pl
  • Opracowania zadań z podręczników
  • Matematyka. Klasa 7. Zeszyt ćwiczeń - rozwiązania i odpowiedzi
  • Zadanie 5.

Matematyka. Klasa 7. Zeszyt ćwiczeń - rozwiązania i odpowiedzi

Zeszyt ćwiczeń, Wydawnictwo: WSiP
Poprzednie

Zadanie 5. - strona 103

Następne

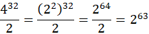
Zadanie

Połowa liczby jest równa:

Rozwiązanie

D.

Skul

Wyjaśnienie

Skorzystaj z tego, że oraz w własności dzielenia potęg o tej samej postawie:

Poprzednie
Następne

Matematyka - wybrane pytania

Ćwiczenie 8., strona 115, Matematyka. Klasa 5. Podręcznik. Część 2 – rozwiązania i odpowiedzi
Zadanie 9., strona 79, Matematyka z kluczem. Klasa 4. Zeszyt ćwiczeń - rozwiązania i odpowiedzi
Zadanie 22., strona 171, Matematyka. Klasa 7. Podręcznik – rozwiązania i odpowiedzi
Zadanie 32., strona 117, MATeMAtyka 1. Zakres podstawowy i rozszerzony. Zbiór zadań – rozwiązania i odpowiedzi
Zadanie 5.4., strona 267, Prosto do matury 4. Zakres podstawowy i rozszerzony. Podręcznik - rozwiązania i odpowiedzi
Zadanie 3., strona 189, Matematyka z plusem. Klasa 5. Podręcznik - rozwiązania i odpowiedzi
Zadanie 5., strona 60, Matematyka z plusem. Klasa 6. Zeszyt ćwiczeń - rozwiązania i odpowiedzi
Zadanie 18., strona 114, Matematyka wokół nas. Klasa 7. Podręcznik - rozwiązania i odpowiedzi
Zadanie 11., strona 45, MATeMAtyka 1. Zakres podstawowy i rozszerzony. Zbiór zadań – rozwiązania i odpowiedzi
Zadanie 8, strona 89, Matematyka z plusem. Klasa 8. Podręcznik – rozwiązania i odpowiedzi
REKLAMA
Skul
Zadania z tego działu
A gdyby egzamin był teraz?
91
Liczby
91

Zadanie 1.

91

Zadanie 2.

91

Zadanie 3.

91

Zadanie 4.

91

Zadanie 5.

91

Zadanie 6.

91

Zadanie 7.

92

Zadanie 8.

92

Zadanie 9.

92

Zadanie 10.

92
Procenty
93

Zadanie 1.

93

Zadanie 2.

93

Zadanie 3.

93

Zadanie 4.

93

Zadanie 5.

93

Zadanie 6.

94

Zadanie 7.

94

Zadanie 8.

94

Zadanie 9.

94
Trójkąty
95

Zadanie 1.

95

Zadanie 2.

95

Zadanie 3.

95

Zadanie 4.

95

Zadanie 5.

95

Zadanie 6.

95

Zadanie 7.

96

Zadanie 8.

96

Zadanie 9.

96

Zadanie 10.

96
Wyrażenia algebraiczne
97

Zadanie 1.

97

Zadanie 2.

97

Zadanie 3.

97

Zadanie 4.

97

Zadanie 5.

97

Zadanie 6.

97

Zadanie 7.

98

Zadanie 8.

98

Zadanie 9.

98

Zadanie 10.

98

Zadanie 11.

98
Równania
99

Zadanie 1.

99

Zadanie 2.

99

Zadanie 3.

99

Zadanie 4.

99

Zadanie 5.

99

Zadanie 6.

99

Zadanie 7.

99

Zadanie 8.

100

Zadanie 9.

100

Zadanie 10.

100

Zadanie 11.

100
Wielokąty
101

Zadanie 1.

101

Zadanie 2.

101

Zadanie 3.

101

Zadanie 4.

101

Zadanie 5.

101

Zadanie 6.

102

Zadanie 7.

102

Zadanie 8.

102
Potęgi
103

Zadanie 1.

103

Zadanie 2.

103

Zadanie 3.

103

Zadanie 4.

103

Zadanie 5.

103

Zadanie 6.

103

Zadanie 7.

103

Zadanie 8.

104

Zadanie 9.

104

Zadanie 10.

104

Zadanie 11.

104

Zadanie 12.

104
Pełny spis treści
Skul
Artboard 1
Skul.pl
  • Napisz do nas
  • FAQ
  • Mapa Serwisu
  • Google Play
  • App Store

Korzystanie z portalu oznacza akceptację Regulaminu.
Polityka prywatności. Ustawienia preferencji. Copyright: INTERIA.PL 1999-2023 Wszystkie prawa zastrzeżone.