Skul.pl
  • Opracowania zadań z podręczników
  • Matematyka. Klasa 7. Zeszyt ćwiczeń - rozwiązania i odpowiedzi
  • Zadanie 4.

Matematyka. Klasa 7. Zeszyt ćwiczeń - rozwiązania i odpowiedzi

Zeszyt ćwiczeń, Wydawnictwo: WSiP
Poprzednie

Zadanie 4. - strona 99

Następne

Zadanie

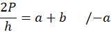
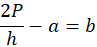
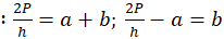
Zaznacz właściwą odpowiedź. Wyznaczając b ze wzoru otrzymasz:

Rozwiązanie

C.

Skul

Wyjaśnienie

Aby znaleźć rozwiązanie równania, musisz przeprowadzić kilka operacji algebraicznych: przesunięcie wyrazów z b na jedną stronę równania oraz wyrazów wolnych na drugą, a następnie uproszczenie ,

Poprzednie
Następne

Matematyka - wybrane pytania

Zadanie 17, strona 29, MATeMAtyka. Klasa 3. Zbiór zadań. Zakres podstawowy i rozszerzony – rozwiązania i odpowiedzi
Zadanie 6., strona 32, Matematyka. Klasa 7. Zeszyt ćwiczeń - rozwiązania i odpowiedzi
Ćwiczenie 7, strona 61, Matematyka wokół nas. Klasa 4. Podręcznik - rozwiązania i odpowiedzi
Ćwiczenie 5, strona 21, Matematyka z Plusem. Geometria. Klasa 4. Zeszyt ćwiczeń. Wersja A. Część 2/3 - rozwiązania i odpowiedzi
Ćwiczenie 3, strona 65, Matematyka wokół nas. Klasa 4. Podręcznik - rozwiązania i odpowiedzi
Zadanie Wstępne 4, strona 86, Matematyka z kluczem. Klasa 4. Podręcznik. Część 1 - rozwiązania i odpowiedzi
Ćwiczenie 2., strona 76, Matematyka. Klasa 7. Podręcznik – rozwiązania i odpowiedzi
Zadanie 62., strona 111, Prosto do matury 4. Zakres podstawowy i rozszerzony. Podręcznik - rozwiązania i odpowiedzi
Zadanie 27., strona 11, Nowa teraz matura 4. Poziom rozszerzony. Zbiór zadań - rozwiązania i odpowiedzi
Zadanie 62, strona 220, MATeMAtyka 4. Zakres podstawowy i rozszerzony. Podręcznik - rozwiązania i odpowiedzi
REKLAMA
Skul
Zadania z tego działu
A gdyby egzamin był teraz?
91
Liczby
91

Zadanie 1.

91

Zadanie 2.

91

Zadanie 3.

91

Zadanie 4.

91

Zadanie 5.

91

Zadanie 6.

91

Zadanie 7.

92

Zadanie 8.

92

Zadanie 9.

92

Zadanie 10.

92
Procenty
93

Zadanie 1.

93

Zadanie 2.

93

Zadanie 3.

93

Zadanie 4.

93

Zadanie 5.

93

Zadanie 6.

94

Zadanie 7.

94

Zadanie 8.

94

Zadanie 9.

94
Trójkąty
95

Zadanie 1.

95

Zadanie 2.

95

Zadanie 3.

95

Zadanie 4.

95

Zadanie 5.

95

Zadanie 6.

95

Zadanie 7.

96

Zadanie 8.

96

Zadanie 9.

96

Zadanie 10.

96
Wyrażenia algebraiczne
97

Zadanie 1.

97

Zadanie 2.

97

Zadanie 3.

97

Zadanie 4.

97

Zadanie 5.

97

Zadanie 6.

97

Zadanie 7.

98

Zadanie 8.

98

Zadanie 9.

98

Zadanie 10.

98

Zadanie 11.

98
Równania
99

Zadanie 1.

99

Zadanie 2.

99

Zadanie 3.

99

Zadanie 4.

99

Zadanie 5.

99

Zadanie 6.

99

Zadanie 7.

99

Zadanie 8.

100

Zadanie 9.

100

Zadanie 10.

100

Zadanie 11.

100
Wielokąty
101

Zadanie 1.

101

Zadanie 2.

101

Zadanie 3.

101

Zadanie 4.

101

Zadanie 5.

101

Zadanie 6.

102

Zadanie 7.

102

Zadanie 8.

102
Potęgi
103

Zadanie 1.

103

Zadanie 2.

103

Zadanie 3.

103

Zadanie 4.

103

Zadanie 5.

103

Zadanie 6.

103

Zadanie 7.

103

Zadanie 8.

104

Zadanie 9.

104

Zadanie 10.

104

Zadanie 11.

104

Zadanie 12.

104
Pełny spis treści
Skul
Artboard 1
Skul.pl
  • Napisz do nas
  • FAQ
  • Mapa Serwisu
  • Google Play
  • App Store

Korzystanie z portalu oznacza akceptację Regulaminu.
Polityka prywatności. Ustawienia preferencji. Copyright: INTERIA.PL 1999-2023 Wszystkie prawa zastrzeżone.