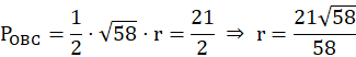
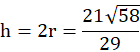
Środek okręgu wpisanego w trapez prostokątny jest odległy o 3 cm i 7 cm od końców dłuższego ramienia. Należy obliczyć pole danego trapezu.
Z tw. Pitagorasa:
Niech O to będzie środek okręgu. Z zależności między kątami
Zadanie 5.2.
125Zadanie 5.8.
125Zadanie 5.11.
126Zadanie 5.12.
126Zadanie 5.18.
127Zadanie 5.23.
127Zadanie 5.24.
127Zadanie 5.25.
127Zadanie 5.26.
128Zadanie 5.27.
128Zadanie 5.30.
128Zadanie 5.34.
128Zadanie 5.35.
128Zadanie 5.39.
129Zadanie 5.40.
129Zadanie 5.51.
130Zadanie 5.52.
130Zadanie 5.53.
130Zadanie 5.54.
130Zadanie 5.55.
130Zadanie 5.56.
131Zadanie 5.58.
131Zadanie 5.59.
131Zadanie 5.61.
131Zadanie 5.63.
132Zadanie 5.68.
132Zadanie 5.70.
132Zadanie 5.78.
134Zadanie 5.79.
134Zadanie 5.80.
134Zadanie 5.81.
134Zadanie 5.82.
135Zadanie 5.86.
135Zadanie 5.87.
135Zadanie 5.12.
137Zadanie 5.14.
138Zadanie 5.16.
138Zadanie 5.26.
139Zadanie 5.27.
139Zadanie 5.29.
139