Wysokość trapezu równoramiennego wynosi 9 cm, a jego pole
Tw. Pitagorasa:
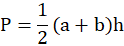
Pole trapezu wyraża się wzorem
Zadanie 5.2.
125Zadanie 5.8.
125Zadanie 5.11.
126Zadanie 5.12.
126Zadanie 5.18.
127Zadanie 5.23.
127Zadanie 5.24.
127Zadanie 5.25.
127Zadanie 5.26.
128Zadanie 5.27.
128Zadanie 5.30.
128Zadanie 5.34.
128Zadanie 5.35.
128Zadanie 5.39.
129Zadanie 5.40.
129Zadanie 5.51.
130Zadanie 5.52.
130Zadanie 5.53.
130Zadanie 5.54.
130Zadanie 5.55.
130Zadanie 5.56.
131Zadanie 5.58.
131Zadanie 5.59.
131Zadanie 5.61.
131Zadanie 5.63.
132Zadanie 5.68.
132Zadanie 5.70.
132Zadanie 5.78.
134Zadanie 5.79.
134Zadanie 5.80.
134Zadanie 5.81.
134Zadanie 5.82.
135Zadanie 5.86.
135Zadanie 5.87.
135Zadanie 5.12.
137Zadanie 5.14.
138Zadanie 5.16.
138Zadanie 5.26.
139Zadanie 5.27.
139Zadanie 5.29.
139