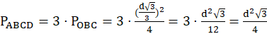
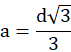
Dany jest trapezu, którego trzy z czterech boków mają taką samą długość oraz dłuższa podstawa to jednocześnie średnica okręgu opisanego na tym trapezie. Należy udowodnić, że jeżeli przekątna ma długość d to pole trapezu wynosi
Niech O to środek okręgu. Skoro ramiona i górna podstawa mają taką samą długość, to
Zadanie 5.2.
125Zadanie 5.8.
125Zadanie 5.11.
126Zadanie 5.12.
126Zadanie 5.18.
127Zadanie 5.23.
127Zadanie 5.24.
127Zadanie 5.25.
127Zadanie 5.26.
128Zadanie 5.27.
128Zadanie 5.30.
128Zadanie 5.34.
128Zadanie 5.35.
128Zadanie 5.39.
129Zadanie 5.40.
129Zadanie 5.51.
130Zadanie 5.52.
130Zadanie 5.53.
130Zadanie 5.54.
130Zadanie 5.55.
130Zadanie 5.56.
131Zadanie 5.58.
131Zadanie 5.59.
131Zadanie 5.61.
131Zadanie 5.63.
132Zadanie 5.68.
132Zadanie 5.70.
132Zadanie 5.78.
134Zadanie 5.79.
134Zadanie 5.80.
134Zadanie 5.81.
134Zadanie 5.82.
135Zadanie 5.86.
135Zadanie 5.87.
135Zadanie 5.12.
137Zadanie 5.14.
138Zadanie 5.16.
138Zadanie 5.26.
139Zadanie 5.27.
139Zadanie 5.29.
139