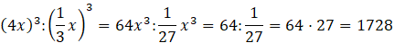
W tym zadaniu musisz obliczyć, ile razy większa jest objętość sześcianu o krawędzi długości 4x od objętości sześcianu o krawędzi długości
V1 = (4x)3
V2 = (
Jest 1728 razy większa.
Wzór na objętość sześcianu to V = a3.
Ćwiczenie 1.
271Ćwiczenie 2.
272Ćwiczenie 3.
272Ćwiczenie 4.
273Ćwiczenie 5.
273Ćwiczenie 6.
274Zadanie 1.
274Zadanie 2.
274Zadanie 3.
274Zadanie 4.
275Zadanie 9.
275Zadanie 10.
275Zadanie 11.
275Zadanie 12.
275Zadanie 13.
275Zadanie 14.
275Zadanie 15.
275Zadanie 17.
276Ćwiczenie 1.
277Ćwiczenie 2.
277Ćwiczenie 3.
278Ćwiczenie 4.
278Ćwiczenie 5.
279Zadanie 1.
279Zadanie 2.
279Zadanie 3.
279Zadanie 4.
279Zadanie 5.
279Zadanie 6.
279Zadanie 7.
280Zadanie 8.
280Zadanie 9.
280Zadanie 11.
280Zadanie 12.
280Ćwiczenie 1.
281Ćwiczenie 2.
282Ćwiczenie 3.
282Ćwiczenie 4.
282Ćwiczenie 5.
283Ćwiczenie 6.
283Zadanie 1.
283Zadanie 2.
283Zadanie 4.
284Zadanie 5.
284Zadanie 10.
284Zadanie 11.
284Ćwiczenie 1.
286Ćwiczenie 2.
287Ćwiczenie 3.
287Ćwiczenie 5.
288Zadanie 1.
288Zadanie 2.
288Zadanie 3.
288Zadanie 6.
289Zadanie 7.
289Zadanie 8.
289Ćwiczenie 2.
290Ćwiczenie 3.
291Ćwiczenie 4.
292Ćwiczenie 5.
292Ćwiczenie 6.
292Ćwiczenie 7.
293Zadanie 1.
293Zadanie 2.
293Zadanie 8.
293Zadanie 9.
294Zadanie 10.
294Ćwiczenie 2.
296Ćwiczenie 7.
298Zadanie 1.
298Zadanie 2.
298Zadanie 3.
298Zadanie 4.
299Zadanie 5.
299Zadanie 6.
299Zadanie 7.
299Zadanie 8.
299Ćwiczenie 1.
301Ćwiczenie 2.
302Ćwiczenie 3.
302Ćwiczenie 4.
303Ćwiczenie 5.
303Ćwiczenie 6.
304Ćwiczenie 7.
304Zadanie 2.
304Zadanie 3.
305Zadanie 4.
305Zadanie 5.
305Zadanie 6.
305Zadanie 7.
305Zadanie 8.
305Zadanie 9.
305Zadanie 10.
305Zadanie 11.
305Zadanie 13.
305Zadanie 14.
305Zadanie 15.
305Zadanie 17.
306Zadanie 4.
310Zadanie 5.
310Zadanie 6.
310Zadanie 7.
310Zadanie 8.
310Zadanie 9.
310Zadanie 10.
311Zadanie 13.
311Zadanie 15.
311Zadanie 17.
311Zadanie 18.
311Zadanie 19.
311Zadanie 1.
270Zadanie 2.
270Zadanie 3.
270Zadanie 8.
270Zadanie 9.
270