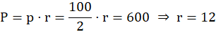
W trapez prostokątny o obwodzie 100 cm i polu 600
a, b – podstawy trapezu (a < b)
c, d – długości ramion trapezu (c < d)
24 cm, 26 cm
Pole czworokąta wyraża się wzorem
Zadanie 5.2.
125Zadanie 5.8.
125Zadanie 5.11.
126Zadanie 5.12.
126Zadanie 5.18.
127Zadanie 5.23.
127Zadanie 5.24.
127Zadanie 5.25.
127Zadanie 5.26.
128Zadanie 5.27.
128Zadanie 5.30.
128Zadanie 5.34.
128Zadanie 5.35.
128Zadanie 5.39.
129Zadanie 5.40.
129Zadanie 5.51.
130Zadanie 5.52.
130Zadanie 5.53.
130Zadanie 5.54.
130Zadanie 5.55.
130Zadanie 5.56.
131Zadanie 5.58.
131Zadanie 5.59.
131Zadanie 5.61.
131Zadanie 5.63.
132Zadanie 5.68.
132Zadanie 5.70.
132Zadanie 5.78.
134Zadanie 5.79.
134Zadanie 5.80.
134Zadanie 5.81.
134Zadanie 5.82.
135Zadanie 5.86.
135Zadanie 5.87.
135Zadanie 5.12.
137Zadanie 5.14.
138Zadanie 5.16.
138Zadanie 5.26.
139Zadanie 5.27.
139Zadanie 5.29.
139