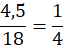
Odcinki |AB| = 18 cm i |DC| = 2 cm są podstawami trapezu ABCD. Punkty E, F zaznaczono kolejno na ramionach AD i BC tak, aby trapezy EFCD i ABEF były podobne. Należy obliczyć stosunek pól danych trapezów.
Zadanie możesz obliczyć na dwa sposoby. Jeżeli skala podobieństwa figur jest równa k, to skala podobieństwa pól tych figur to, czyli korzystając z poprzedniego zadania podobieństwo pól trapezów wynosi
Zadanie 5.2.
125Zadanie 5.8.
125Zadanie 5.11.
126Zadanie 5.12.
126Zadanie 5.18.
127Zadanie 5.23.
127Zadanie 5.24.
127Zadanie 5.25.
127Zadanie 5.26.
128Zadanie 5.27.
128Zadanie 5.30.
128Zadanie 5.34.
128Zadanie 5.35.
128Zadanie 5.39.
129Zadanie 5.40.
129Zadanie 5.51.
130Zadanie 5.52.
130Zadanie 5.53.
130Zadanie 5.54.
130Zadanie 5.55.
130Zadanie 5.56.
131Zadanie 5.58.
131Zadanie 5.59.
131Zadanie 5.61.
131Zadanie 5.63.
132Zadanie 5.68.
132Zadanie 5.70.
132Zadanie 5.78.
134Zadanie 5.79.
134Zadanie 5.80.
134Zadanie 5.81.
134Zadanie 5.82.
135Zadanie 5.86.
135Zadanie 5.87.
135Zadanie 5.12.
137Zadanie 5.14.
138Zadanie 5.16.
138Zadanie 5.26.
139Zadanie 5.27.
139Zadanie 5.29.
139