Skul.pl
  • Opracowania zadań z podręczników
  • Matematyka. Klasa 7. Zeszyt ćwiczeń - rozwiązania i odpowiedzi
  • Zadanie 5.

Matematyka. Klasa 7. Zeszyt ćwiczeń - rozwiązania i odpowiedzi

Zeszyt ćwiczeń, Wydawnictwo: WSiP
Poprzednie

Zadanie 5. - strona 101

Następne

Zadanie

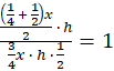
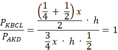
Dany jest równoległobok ABCD. Punkt L jest środkiem boku CD. Na boku AB zaznaczono punkt K taki, że odcinek AK jest trzy razy dłuży od odcinka KB.

Rozwiązanie

1. F, 2. P

Skul

Wyjaśnienie

Musisz ułożyć równanie pierwsze zdanie to fałsz, drugie , jest prawdziwe.

Poprzednie
Następne

Matematyka - wybrane pytania

Zadanie 9., strona 25, Matematyka. Klasa 3. Zakres rozszerzony. Podręcznik - rozwiązania i odpowiedzi
Zadanie 1.50., strona 14, Matematyka. Klasa 3. Zbiór zadań. Zakres podstawowy - rozwiązania i odpowiedzi
Zadanie co umiem 4?, strona 289, Matematyka. Klasa 5. Podręcznik - rozwiązania i odpowiedzi
Zadanie 23, strona 63, Matematyka z kluczem. Klasa 6. Zbiór zadań - rozwiązania i odpowiedzi
Zadanie 1., strona 26, Matematyka. Klasa 4. Zeszyt ćwiczeń - rozwiązania i odpowiedzi
Ćwiczenie 2, strona 9, Matematyka z kluczem. Klasa 8. Podręcznik - rozwiązania i odpowiedzi
Zadanie 18., strona 253, Matematyka. Klasa 3. Zakres rozszerzony. Podręcznik - rozwiązania i odpowiedzi
Zadanie 84., strona 84, Matematyka z plusem. Klasa 2. Zbiór zadań. Zakres podstawowy i rozszerzony – rozwiązania i odpowiedzi
Zadanie 6, strona 43, Matematyka. Klasa 4. Podręcznik - rozwiązania i odpowiedzi
Ćwiczenie 2, strona 19, Matematyka wokół nas. Klasa 6. Zeszyt ćwiczeń. Część 1 – rozwiązania i odpowiedzi
REKLAMA
Skul
Zadania z tego działu
A gdyby egzamin był teraz?
91
Liczby
91

Zadanie 1.

91

Zadanie 2.

91

Zadanie 3.

91

Zadanie 4.

91

Zadanie 5.

91

Zadanie 6.

91

Zadanie 7.

92

Zadanie 8.

92

Zadanie 9.

92

Zadanie 10.

92
Procenty
93

Zadanie 1.

93

Zadanie 2.

93

Zadanie 3.

93

Zadanie 4.

93

Zadanie 5.

93

Zadanie 6.

94

Zadanie 7.

94

Zadanie 8.

94

Zadanie 9.

94
Trójkąty
95

Zadanie 1.

95

Zadanie 2.

95

Zadanie 3.

95

Zadanie 4.

95

Zadanie 5.

95

Zadanie 6.

95

Zadanie 7.

96

Zadanie 8.

96

Zadanie 9.

96

Zadanie 10.

96
Wyrażenia algebraiczne
97

Zadanie 1.

97

Zadanie 2.

97

Zadanie 3.

97

Zadanie 4.

97

Zadanie 5.

97

Zadanie 6.

97

Zadanie 7.

98

Zadanie 8.

98

Zadanie 9.

98

Zadanie 10.

98

Zadanie 11.

98
Równania
99

Zadanie 1.

99

Zadanie 2.

99

Zadanie 3.

99

Zadanie 4.

99

Zadanie 5.

99

Zadanie 6.

99

Zadanie 7.

99

Zadanie 8.

100

Zadanie 9.

100

Zadanie 10.

100

Zadanie 11.

100
Wielokąty
101

Zadanie 1.

101

Zadanie 2.

101

Zadanie 3.

101

Zadanie 4.

101

Zadanie 5.

101

Zadanie 6.

102

Zadanie 7.

102

Zadanie 8.

102
Potęgi
103

Zadanie 1.

103

Zadanie 2.

103

Zadanie 3.

103

Zadanie 4.

103

Zadanie 5.

103

Zadanie 6.

103

Zadanie 7.

103

Zadanie 8.

104

Zadanie 9.

104

Zadanie 10.

104

Zadanie 11.

104

Zadanie 12.

104
Pełny spis treści
Skul
Artboard 1
Skul.pl
  • Napisz do nas
  • FAQ
  • Mapa Serwisu
  • Google Play
  • App Store

Korzystanie z portalu oznacza akceptację Regulaminu.
Polityka prywatności. Ustawienia preferencji. Copyright: INTERIA.PL 1999-2023 Wszystkie prawa zastrzeżone.