Skul.pl
  • Opracowania zadań z podręczników
  • Matematyka. Klasa 7. Zeszyt ćwiczeń - rozwiązania i odpowiedzi
  • Zadanie 2.

Matematyka. Klasa 7. Zeszyt ćwiczeń - rozwiązania i odpowiedzi

Zeszyt ćwiczeń, Wydawnictwo: WSiP
Poprzednie

Zadanie 2. - strona 103

Następne

Zadanie

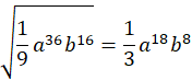
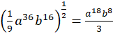
Kwadrat wyrażenia to

Rozwiązanie

D.

Skul

Wyjaśnienie

W matematyce, potęga to operacja, która polega na wielokrotnym mnożeniu danej liczby przez siebie. Potęgę możesz zapisać w postaci aⁿ, gdzie a jest podstawą potęgi, a n jest wykładnikiem potęgi.

Poprzednie
Następne

Matematyka - wybrane pytania

Zadanie 8, strona 77, Matematyka z plusem. Klasa 2. Podręcznik. Zakres podstawowy - rozwiązania i odpowiedzi
Zadanie 8.94., strona 208, Matematyka. Klasa 3. Zbiór zadań. Zakres rozszerzony – rozwiązania i odpowiedzi
Zadanie 8., strona 38, Matematyka. Klasa 7. Zeszyt ćwiczeń - rozwiązania i odpowiedzi
Ćwiczenie 10, strona 33, Matematyka z Plusem. Geometria. Klasa 4. Zeszyt ćwiczeń. Wersja A. Część 2/3 - rozwiązania i odpowiedzi
Zadanie 17, strona 130, Matematyka z kluczem. Klasa 6. Zbiór zadań - rozwiązania i odpowiedzi
Zadanie 5., strona 30, Matematyka z kluczem. Klasa 8. Zbiór zadań – rozwiązania i odpowiedzi
Zadanie 15., strona 233, Matematyka. Klasa 1. Podręcznik. Zakres rozszerzony – rozwiązania i odpowiedzi
Zadanie 8., strona 135, Matematyka z Plusem. Klasa 4. Podręcznik – rozwiązania i odpowiedzi
Zadanie 6., strona 154, Matematyka z Plusem. Klasa 1. Podręcznik. Poziom rozszerzony – rozwiązania i odpowiedzi
Ćwiczenie 8, strona 70, Matematyka z kluczem. Klasa 5. Zeszyt ćwiczeń - rozwiązania i odpowiedzi
REKLAMA
Skul
Zadania z tego działu
A gdyby egzamin był teraz?
91
Liczby
91

Zadanie 1.

91

Zadanie 2.

91

Zadanie 3.

91

Zadanie 4.

91

Zadanie 5.

91

Zadanie 6.

91

Zadanie 7.

92

Zadanie 8.

92

Zadanie 9.

92

Zadanie 10.

92
Procenty
93

Zadanie 1.

93

Zadanie 2.

93

Zadanie 3.

93

Zadanie 4.

93

Zadanie 5.

93

Zadanie 6.

94

Zadanie 7.

94

Zadanie 8.

94

Zadanie 9.

94
Trójkąty
95

Zadanie 1.

95

Zadanie 2.

95

Zadanie 3.

95

Zadanie 4.

95

Zadanie 5.

95

Zadanie 6.

95

Zadanie 7.

96

Zadanie 8.

96

Zadanie 9.

96

Zadanie 10.

96
Wyrażenia algebraiczne
97

Zadanie 1.

97

Zadanie 2.

97

Zadanie 3.

97

Zadanie 4.

97

Zadanie 5.

97

Zadanie 6.

97

Zadanie 7.

98

Zadanie 8.

98

Zadanie 9.

98

Zadanie 10.

98

Zadanie 11.

98
Równania
99

Zadanie 1.

99

Zadanie 2.

99

Zadanie 3.

99

Zadanie 4.

99

Zadanie 5.

99

Zadanie 6.

99

Zadanie 7.

99

Zadanie 8.

100

Zadanie 9.

100

Zadanie 10.

100

Zadanie 11.

100
Wielokąty
101

Zadanie 1.

101

Zadanie 2.

101

Zadanie 3.

101

Zadanie 4.

101

Zadanie 5.

101

Zadanie 6.

102

Zadanie 7.

102

Zadanie 8.

102
Potęgi
103

Zadanie 1.

103

Zadanie 2.

103

Zadanie 3.

103

Zadanie 4.

103

Zadanie 5.

103

Zadanie 6.

103

Zadanie 7.

103

Zadanie 8.

104

Zadanie 9.

104

Zadanie 10.

104

Zadanie 11.

104

Zadanie 12.

104
Pełny spis treści
Skul
Artboard 1
Skul.pl
  • Napisz do nas
  • FAQ
  • Mapa Serwisu
  • Google Play
  • App Store

Korzystanie z portalu oznacza akceptację Regulaminu.
Polityka prywatności. Ustawienia preferencji. Copyright: INTERIA.PL 1999-2023 Wszystkie prawa zastrzeżone.