Skul.pl
  • Opracowania zadań z podręczników
  • Matematyka. Klasa 7. Zeszyt ćwiczeń - rozwiązania i odpowiedzi
  • Zadanie 10.

Matematyka. Klasa 7. Zeszyt ćwiczeń - rozwiązania i odpowiedzi

Zeszyt ćwiczeń, Wydawnictwo: WSiP
Poprzednie

Zadanie 10. - strona 104

Następne

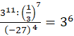
Zadanie

Dla wyrażenia określ wartość logiczną zdań.

Rozwiązanie

Pierwsze zdanie jest fałszywe, a drugie prawdziwe.

Skul

Wyjaśnienie

Na początku przekształć wyrażenie , zatem pierwsze zdanie jest fałszywe, a drugie prawdziwe.

Poprzednie
Następne

Matematyka - wybrane pytania

Ćwiczenie 4, strona 41, MATeMAtyka 2. Zakres podstawowy. Podręcznik - rozwiązania i odpowiedzi
Zadanie Prosto do matury 7., strona 195, Prosto do matury. Matematyka. Klasa 2. Zakres podstawowy. Podręcznik - rozwiązania i odpowiedzi
Zadanie 5., strona 387, Matematyka. Klasa 3. Zakres rozszerzony. Podręcznik - rozwiązania i odpowiedzi
Zadanie 70, strona 86, Matematyka. Klasa 2. Zbiór zadań. Zakres rozszerzony – rozwiązania i odpowiedzi
Zadanie 24, strona 112, MATeMAtyka. Klasa 1. Zbiór zadań. Zakres podstawowy – rozwiązania i odpowiedzi
Zadanie 8, strona 101, NOWA MATeMAtyka 1. Podręcznik. Zakres podstawowy i rozszerzony
Ćwiczenie 1., strona 35, Matematyka z plusem. Klasa 8. Zeszyt ćwiczeń – rozwiązania i odpowiedzi
Ćwiczenie A, strona 169, Matematyka z plusem. Klasa 2. Podręcznik. Zakres podstawowy - rozwiązania i odpowiedzi
Zadanie Co było na lekcji 1, strona 16, Matematyka. Klasa 5. Zeszyt ćwiczeń część 1 - rozwiązania i odpowiedzi.
Ćwiczenie Wyzwanie, strona 121, Matematyka wokół nas. Klasa 7. Podręcznik - rozwiązania i odpowiedzi
REKLAMA
Skul
Zadania z tego działu
A gdyby egzamin był teraz?
91
Liczby
91

Zadanie 1.

91

Zadanie 2.

91

Zadanie 3.

91

Zadanie 4.

91

Zadanie 5.

91

Zadanie 6.

91

Zadanie 7.

92

Zadanie 8.

92

Zadanie 9.

92

Zadanie 10.

92
Procenty
93

Zadanie 1.

93

Zadanie 2.

93

Zadanie 3.

93

Zadanie 4.

93

Zadanie 5.

93

Zadanie 6.

94

Zadanie 7.

94

Zadanie 8.

94

Zadanie 9.

94
Trójkąty
95

Zadanie 1.

95

Zadanie 2.

95

Zadanie 3.

95

Zadanie 4.

95

Zadanie 5.

95

Zadanie 6.

95

Zadanie 7.

96

Zadanie 8.

96

Zadanie 9.

96

Zadanie 10.

96
Wyrażenia algebraiczne
97

Zadanie 1.

97

Zadanie 2.

97

Zadanie 3.

97

Zadanie 4.

97

Zadanie 5.

97

Zadanie 6.

97

Zadanie 7.

98

Zadanie 8.

98

Zadanie 9.

98

Zadanie 10.

98

Zadanie 11.

98
Równania
99

Zadanie 1.

99

Zadanie 2.

99

Zadanie 3.

99

Zadanie 4.

99

Zadanie 5.

99

Zadanie 6.

99

Zadanie 7.

99

Zadanie 8.

100

Zadanie 9.

100

Zadanie 10.

100

Zadanie 11.

100
Wielokąty
101

Zadanie 1.

101

Zadanie 2.

101

Zadanie 3.

101

Zadanie 4.

101

Zadanie 5.

101

Zadanie 6.

102

Zadanie 7.

102

Zadanie 8.

102
Potęgi
103

Zadanie 1.

103

Zadanie 2.

103

Zadanie 3.

103

Zadanie 4.

103

Zadanie 5.

103

Zadanie 6.

103

Zadanie 7.

103

Zadanie 8.

104

Zadanie 9.

104

Zadanie 10.

104

Zadanie 11.

104

Zadanie 12.

104
Pełny spis treści
Skul
Artboard 1
Skul.pl
  • Napisz do nas
  • FAQ
  • Mapa Serwisu
  • Google Play
  • App Store

Korzystanie z portalu oznacza akceptację Regulaminu.
Polityka prywatności. Ustawienia preferencji. Copyright: INTERIA.PL 1999-2023 Wszystkie prawa zastrzeżone.