Dany jest ostrosłup prawidłowy czworokątny o krawędzi podstawy 𝑎 i kącie dwuściennym między sąsiednimi ścianami bocznymi α. Oblicz objętość tej bryły.
Naszkicuj sytuację podaną w zadaniu:
Wyznacz płaszczyznę zawierającą kąt dwuścienny między sąsiadującymi ścianami bocznymi w taki sposób, żeby zawierała ona wysokości ścian bocznych opuszczonych na wspólną krawędź. Płaszczyzna ta tworzy trójkąt równoramienny zaznaczony na rysunku.
Opuść wysokość tego trójkąta na przekątną podstawy, która jest kwadratem. Spodek wysokości dzieli podstawę niebieskiego trójkąta na dwa odcinki równej długości
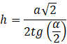
Wykorzystaj funkcje trygonometryczne, by uzależnić wysokość niebieskiego trójkąta od kąta dwuściennego α oraz krawędzi podstawy 𝑎:
Wysokość 𝘩 jest również wysokością pomarańczowego trójkąta o przyprostokątnych z połowy przekątnej podstawy oraz wysokości ostrosłupa. Wysokość 𝘩 dzieli ten trójkąt prostokątny na dwa podobne trójkąty. Wykorzystaj stosunki podobnych odcinków, by wyliczyć wartość 𝐻:
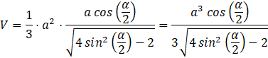
Objętość ostrosłupa jest równa:
Wyznacz odpowiednią płaszczyznę zawierającą kąt dwuścienny między ścianami. Wykorzystaj zależności w powstałym trójkącie równoramiennym oraz funkcje trygonometryczne, aby uzależnić wysokość przekroju figury od kąta dwuściennego i długości krawędzi podstawy. Zauważ, że wysokość ta dzieli trójkąt o przeciwprostokątnej z krawędzi bocznej ostrosłupa na trójkąty podobne. Wykorzystaj relację między podobnymi odcinkami, by wyliczyć wartość 𝐻. Uprość wyrażenie zawierające pierwiastki oraz funkcje trygonometryczne. Oblicz objętość uzależnioną od kąta dwuściennego oraz krawędzi podstawy.
Ćwiczenie A.
252Ćwiczenie B.
253Ćwiczenie C.
253Zadanie 3.
255Zadanie 7.
256Zadanie 8.
256Zadanie 9.
256Zadanie 10.
257Zadanie 11.
257Zadanie 18.
260Zadanie 19.
260Zadanie 23.
261Zadanie 24.
261Zadanie 25.
261Przykład 1.
263Zadanie 1.
264Zadanie 2.
264Zadanie 5.
264Zadanie 6.
265Zadanie 8.
265Zadanie 9.
265Zadanie 10.
265Ćwiczenie A.
267Przykład 3.
273Zadanie 1.
274Zadanie 4.
274Zadanie 7.
274Zadanie 10.
275Zadanie 11.
275Zadanie 12.
275Zadanie 14.
275Zadanie 17.
276Zadanie 1.
281Zadanie 2.
281Zadanie 3.
281Zadanie 4.
282Zadanie 6.
282Zadanie 8.
282Zadanie 10.
283Zadanie 11.
283Zadanie 12.
283Zadanie 13.
283Zadanie 14.
283Zadanie 19.
284Zadanie S1.
284Ćwiczenie B.
286Zadanie 1.
288Zadanie 2.
288Zadanie 3.
288Zadanie 7.
289Zadanie 9.
289Zadanie 14.
290Zadanie 15.
290Zadanie 3.
292Zadanie 5.
292