Dany jest ostrosłup o wszystkich krawędziach równych 𝑎 i doklejony do niego kwadrat w sposób przedstawiony na rysunku. Wiedząc, że krawędź dolepionego sześcianu jest trzy razy krótsza od krawędzi ostrosłupa, oblicz pole powierzchni tej bryły.
A.
B.
C.
D.
Pole powierzchni bocznej ostrosłupa jest równe:
Pole podstawy i dolepionego sześcianu jest równe:
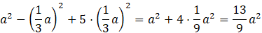
Pole powierzchni bryły jest więc równe:
Odp. A.
Wykorzystaj wzory na pole trójkąta równobocznego i kwadratu.
Ćwiczenie A.
252Ćwiczenie B.
253Ćwiczenie C.
253Zadanie 3.
255Zadanie 7.
256Zadanie 8.
256Zadanie 9.
256Zadanie 10.
257Zadanie 11.
257Zadanie 18.
260Zadanie 19.
260Zadanie 23.
261Zadanie 24.
261Zadanie 25.
261Przykład 1.
263Zadanie 1.
264Zadanie 2.
264Zadanie 5.
264Zadanie 6.
265Zadanie 8.
265Zadanie 9.
265Zadanie 10.
265Ćwiczenie A.
267Przykład 3.
273Zadanie 1.
274Zadanie 4.
274Zadanie 7.
274Zadanie 10.
275Zadanie 11.
275Zadanie 12.
275Zadanie 14.
275Zadanie 17.
276Zadanie 1.
281Zadanie 2.
281Zadanie 3.
281Zadanie 4.
282Zadanie 6.
282Zadanie 8.
282Zadanie 10.
283Zadanie 11.
283Zadanie 12.
283Zadanie 13.
283Zadanie 14.
283Zadanie 19.
284Zadanie S1.
284Ćwiczenie B.
286Zadanie 1.
288Zadanie 2.
288Zadanie 3.
288Zadanie 7.
289Zadanie 9.
289Zadanie 14.
290Zadanie 15.
290Zadanie 3.
292Zadanie 5.
292