Oblicz miarę kąta α zaznaczonego na rysunku wiedząc, że wszystkie krawędzie graniastosłupa prawidłowego sześciokątnego mają tę samą długość równą 𝑎.
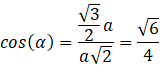
Zaznaczone odcinki to: krótsza przekątna podstawy równa
Rzuć wysokość trójkąta z wierzchołka zawierającego kąt
Odp. Miara kąta
Oblicz długości boków trójkąta utworzonego przez zaznaczone odcinki. Wykorzystaj równoramienność powstałego trójkąta, by obliczyć miarę kąta α. Skorzystaj z tablic wartości funkcji trygonometrycznych lub kalkulatora.
Krótsza przekątna podstawy krawędzie graniastosłupa prawidłowego sześciokątnego ma długość
Ćwiczenie A.
252Ćwiczenie B.
253Ćwiczenie C.
253Zadanie 3.
255Zadanie 7.
256Zadanie 8.
256Zadanie 9.
256Zadanie 10.
257Zadanie 11.
257Zadanie 18.
260Zadanie 19.
260Zadanie 23.
261Zadanie 24.
261Zadanie 25.
261Przykład 1.
263Zadanie 1.
264Zadanie 2.
264Zadanie 5.
264Zadanie 6.
265Zadanie 8.
265Zadanie 9.
265Zadanie 10.
265Ćwiczenie A.
267Przykład 3.
273Zadanie 1.
274Zadanie 4.
274Zadanie 7.
274Zadanie 10.
275Zadanie 11.
275Zadanie 12.
275Zadanie 14.
275Zadanie 17.
276Zadanie 1.
281Zadanie 2.
281Zadanie 3.
281Zadanie 4.
282Zadanie 6.
282Zadanie 8.
282Zadanie 10.
283Zadanie 11.
283Zadanie 12.
283Zadanie 13.
283Zadanie 14.
283Zadanie 19.
284Zadanie S1.
284Ćwiczenie B.
286Zadanie 1.
288Zadanie 2.
288Zadanie 3.
288Zadanie 7.
289Zadanie 9.
289Zadanie 14.
290Zadanie 15.
290Zadanie 3.
292Zadanie 5.
292