Dany jest ostrosłup prawidłowy czworokątny o długości krawędzi podstawy 230 m i wysokości 146 m. Określ, czy kąt zawarty między przeciwległymi ścianami ostrosłupa jest ostry, prosty czy rozwarty.
Wykorzystaj twierdzenie Pitagorasa, by obliczyć wysokość ściany bocznej:
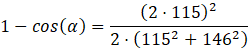
Wykorzystaj twierdzenie cosinusów, żeby obliczyć cosinus kąta między wysokościami ścian bocznych:
Z tego wynika, że kąt między ścianami bocznymi tego ostrosłupa jest ostry.
Zauważ, że wysokość ostrosłupa oraz krawędź poprowadzona ze spodka wysokości prostopadle do krawędzi podstawy tworzą trójkąt prostokątny, którego przeciwprostokątną jest wysokość ściany bocznej bryły. Wykorzystaj twierdzenie Pitagorasa, żeby obliczyć wysokość ściany bocznej – nie upraszczaj wyniku. Cosinus kąta między wysokościami ścian bocznych można obliczyć za pomocą twierdzenia cosinusów. Ponieważ cosinus kąta jest dodatni dla kątów ostrych, równy zeru dla kąta prostego oraz ujemny dla kąta rozwartego, jest on idealnym testem.
Ćwiczenie A.
252Ćwiczenie B.
253Ćwiczenie C.
253Zadanie 3.
255Zadanie 7.
256Zadanie 8.
256Zadanie 9.
256Zadanie 10.
257Zadanie 11.
257Zadanie 18.
260Zadanie 19.
260Zadanie 23.
261Zadanie 24.
261Zadanie 25.
261Przykład 1.
263Zadanie 1.
264Zadanie 2.
264Zadanie 5.
264Zadanie 6.
265Zadanie 8.
265Zadanie 9.
265Zadanie 10.
265Ćwiczenie A.
267Przykład 3.
273Zadanie 1.
274Zadanie 4.
274Zadanie 7.
274Zadanie 10.
275Zadanie 11.
275Zadanie 12.
275Zadanie 14.
275Zadanie 17.
276Zadanie 1.
281Zadanie 2.
281Zadanie 3.
281Zadanie 4.
282Zadanie 6.
282Zadanie 8.
282Zadanie 10.
283Zadanie 11.
283Zadanie 12.
283Zadanie 13.
283Zadanie 14.
283Zadanie 19.
284Zadanie S1.
284Ćwiczenie B.
286Zadanie 1.
288Zadanie 2.
288Zadanie 3.
288Zadanie 7.
289Zadanie 9.
289Zadanie 14.
290Zadanie 15.
290Zadanie 3.
292Zadanie 5.
292