Dany jest ostrosłup prawidłowy trójkątny o krawędzi podstawy długości 6 oraz krawędzi bocznej długości 8. Przeprowadzono przez niego płaszczyznę równoległą do podstawy ostrosłupa w taki sposób, że punkt wspólny wysokości ostrosłupa oraz tej płaszczyzny dzieli wysokość na odcinki o równych długościach. Oblicz objętość ostrosłupa ściętego o górnej podstawie z przekroju utworzonego przez rozważaną płaszczyznę.
Oznacz wysokość ostrosłupa jako 𝐻. Zauważ, że spodek tej wysokości dzieli wysokość podstawy na odcinki o stosunkach długości 1 : 2. Długość odcinka łączącego spodek wysokości z wierzchołkiem podstawy wynosi zatem:
Wykorzystaj twierdzenie Pitagorasa, żeby obliczyć wysokość 𝐻:
Objętość całego ostrosłupa wynosi:
Skorzystaj z relacji między stosunkiem objętości brył podobnych a sześcianem skali podobieństwa, by obliczyć objętość odciętego stożka, podobnego do całości bryły:
Objętość stożka ściętego to różnica tych dwóch objętości:
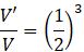
Wykorzystaj własności odcinków specjalnych w trójkącie równobocznym oraz twierdzenie Pitagorasa, aby obliczyć wysokość ostrosłupa. Z podziału wysokości przez płaszczyznę wiadomo, że skala podobieństwa małego ostrosłupa do dużego ostrosłupa wynosi
Ćwiczenie A.
252Ćwiczenie B.
253Ćwiczenie C.
253Zadanie 3.
255Zadanie 7.
256Zadanie 8.
256Zadanie 9.
256Zadanie 10.
257Zadanie 11.
257Zadanie 18.
260Zadanie 19.
260Zadanie 23.
261Zadanie 24.
261Zadanie 25.
261Przykład 1.
263Zadanie 1.
264Zadanie 2.
264Zadanie 5.
264Zadanie 6.
265Zadanie 8.
265Zadanie 9.
265Zadanie 10.
265Ćwiczenie A.
267Przykład 3.
273Zadanie 1.
274Zadanie 4.
274Zadanie 7.
274Zadanie 10.
275Zadanie 11.
275Zadanie 12.
275Zadanie 14.
275Zadanie 17.
276Zadanie 1.
281Zadanie 2.
281Zadanie 3.
281Zadanie 4.
282Zadanie 6.
282Zadanie 8.
282Zadanie 10.
283Zadanie 11.
283Zadanie 12.
283Zadanie 13.
283Zadanie 14.
283Zadanie 19.
284Zadanie S1.
284Ćwiczenie B.
286Zadanie 1.
288Zadanie 2.
288Zadanie 3.
288Zadanie 7.
289Zadanie 9.
289Zadanie 14.
290Zadanie 15.
290Zadanie 3.
292Zadanie 5.
292