Udowodnij, że objętość walca o polu powierzchni 𝑃 opisanego na kuli o promieniu 𝑟 jest równa
T:
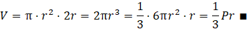
Objętość walca jest równa
D:
Zauważ dwa fakty w tej konstrukcji: promień wpisanej kuli jest równy promieniowi podstawy oraz wysokość walca jest równa średnicy wpisanej kuli.
Oblicz pole powierzchni całkowitej tego walca względem promienia wpisanej kuli:
Oblicz objętość walca:
Zauważ, że w podanej konstrukcji wysokość oraz promień podstawy walca zależą od promienia wpisanej kuli. Oblicz pole powierzchni całkowitej oraz objętość względem tego promienia, a następnie zauważ relację między polem powierzchni a objętością.
Ćwiczenie A.
252Ćwiczenie B.
253Ćwiczenie C.
253Zadanie 3.
255Zadanie 7.
256Zadanie 8.
256Zadanie 9.
256Zadanie 10.
257Zadanie 11.
257Zadanie 18.
260Zadanie 19.
260Zadanie 23.
261Zadanie 24.
261Zadanie 25.
261Przykład 1.
263Zadanie 1.
264Zadanie 2.
264Zadanie 5.
264Zadanie 6.
265Zadanie 8.
265Zadanie 9.
265Zadanie 10.
265Ćwiczenie A.
267Przykład 3.
273Zadanie 1.
274Zadanie 4.
274Zadanie 7.
274Zadanie 10.
275Zadanie 11.
275Zadanie 12.
275Zadanie 14.
275Zadanie 17.
276Zadanie 1.
281Zadanie 2.
281Zadanie 3.
281Zadanie 4.
282Zadanie 6.
282Zadanie 8.
282Zadanie 10.
283Zadanie 11.
283Zadanie 12.
283Zadanie 13.
283Zadanie 14.
283Zadanie 19.
284Zadanie S1.
284Ćwiczenie B.
286Zadanie 1.
288Zadanie 2.
288Zadanie 3.
288Zadanie 7.
289Zadanie 9.
289Zadanie 14.
290Zadanie 15.
290Zadanie 3.
292Zadanie 5.
292