Dany jest graniastosłup prosty o podstawie z trapezu prostokątnego takiego, że dłuższa podstawa i prostopadłe do niej ramię mają długość 𝑎. Dłuższa przekątna graniastosłupa ma długość 2𝑎. Oblicz kąt między dłuższą przekątną a podstawą tego graniastosłupa.
Rzut prostokątny dłuższej przekątnej graniastosłupa na podstawę to przekątna trapezu, która jest przeciwprostokątną dla dłuższej podstawy i ramienia tego trapezu. Oblicz długość rzutu prostokątnego na trapez:
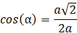
Miara kąta między przekątną graniastosłupa a jego podstawą wynosi:
Odp. Przekątna jest nachylona pod kątem 45° do podstawy.
Wykorzystaj dane podane w treści zadania, by wyliczyć długości przyprostokątnych trójkąta utworzonego przez przekątną graniastosłupa a następnie oblicz miarę kąta za pomocą funkcji trygonometrycznych. Skorzystaj z tablic wartości funkcji trygonometrycznych lub kalkulatora.
Ćwiczenie A.
252Ćwiczenie B.
253Ćwiczenie C.
253Zadanie 3.
255Zadanie 7.
256Zadanie 8.
256Zadanie 9.
256Zadanie 10.
257Zadanie 11.
257Zadanie 18.
260Zadanie 19.
260Zadanie 23.
261Zadanie 24.
261Zadanie 25.
261Przykład 1.
263Zadanie 1.
264Zadanie 2.
264Zadanie 5.
264Zadanie 6.
265Zadanie 8.
265Zadanie 9.
265Zadanie 10.
265Ćwiczenie A.
267Przykład 3.
273Zadanie 1.
274Zadanie 4.
274Zadanie 7.
274Zadanie 10.
275Zadanie 11.
275Zadanie 12.
275Zadanie 14.
275Zadanie 17.
276Zadanie 1.
281Zadanie 2.
281Zadanie 3.
281Zadanie 4.
282Zadanie 6.
282Zadanie 8.
282Zadanie 10.
283Zadanie 11.
283Zadanie 12.
283Zadanie 13.
283Zadanie 14.
283Zadanie 19.
284Zadanie S1.
284Ćwiczenie B.
286Zadanie 1.
288Zadanie 2.
288Zadanie 3.
288Zadanie 7.
289Zadanie 9.
289Zadanie 14.
290Zadanie 15.
290Zadanie 3.
292Zadanie 5.
292