Dany jest graniastosłup prosty o podstawie z trójkąta równoramiennego prostokątnego. Wiedząc, że przeciwprostokątna podstawy i przekątne dwóch ścian bocznych mają długość równą 𝑎, oblicz wysokość graniastosłupa.
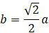
Podstawą jest trójkąt prostokątny równoramienny, więc jesteś w stanie wyznaczyć długość przyprostokątnej:
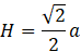
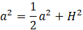
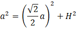
Skoro graniastosłup jest prosty, wykorzystaj przyprostokątną oraz przekątną ściany bocznej, by wyznaczyć wysokość:
Odp. Wysokość tego graniastosłupa wynosi
Wykorzystaj twierdzenie Pitagorasa oraz dane zawarte w treści zadania, by wyznaczyć wysokość tej bryły.
Ćwiczenie A.
252Ćwiczenie B.
253Ćwiczenie C.
253Zadanie 3.
255Zadanie 7.
256Zadanie 8.
256Zadanie 9.
256Zadanie 10.
257Zadanie 11.
257Zadanie 18.
260Zadanie 19.
260Zadanie 23.
261Zadanie 24.
261Zadanie 25.
261Przykład 1.
263Zadanie 1.
264Zadanie 2.
264Zadanie 5.
264Zadanie 6.
265Zadanie 8.
265Zadanie 9.
265Zadanie 10.
265Ćwiczenie A.
267Przykład 3.
273Zadanie 1.
274Zadanie 4.
274Zadanie 7.
274Zadanie 10.
275Zadanie 11.
275Zadanie 12.
275Zadanie 14.
275Zadanie 17.
276Zadanie 1.
281Zadanie 2.
281Zadanie 3.
281Zadanie 4.
282Zadanie 6.
282Zadanie 8.
282Zadanie 10.
283Zadanie 11.
283Zadanie 12.
283Zadanie 13.
283Zadanie 14.
283Zadanie 19.
284Zadanie S1.
284Ćwiczenie B.
286Zadanie 1.
288Zadanie 2.
288Zadanie 3.
288Zadanie 7.
289Zadanie 9.
289Zadanie 14.
290Zadanie 15.
290Zadanie 3.
292Zadanie 5.
292