Dany jest graniastosłup prosty o podstawie z trójkąta prostokątnego. Z wierzchołka, na którym oparty jest kąt prosty podstawy, poprowadzono przekątne ścian bocznych. Kąty między tymi przekątnymi a płaszczyzną podstawy wynoszą odpowiednio α i β. Wyznacz cosinus kąta między przekątnymi.
Oznacz przyprostokątne podstawy jako 𝑎 i 𝑏, a wysokość graniastosłupa jako 𝘩. Długość przekątnej rozpinającej kąt α wynosi:
Natomiast długość przekątnej rozpinającej kąt β wynosi:
Przeciwprostokątna podstawy ma długość:
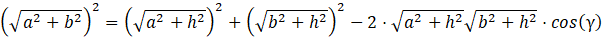
Te trzy odcinki tworzą trójkąt z kątem γ rozpiętym między przekątnymi. Wykorzystaj twierdzenie cosinusów, żeby obliczyć cosinus kąta γ:
Zauważ, że ilorazy po prawej stronie równania opisują stosunki długości boków w trójkątach prostokątnych utworzonych przez przekątne ścian bocznych. Są one definicjami funkcji trygonometrycznych:
Wprowadź oznaczenia krawędzi podstawy oraz wysokości graniastosłupa. Oblicz długość przekątnych ścian bocznych oraz przeciwprostokątnej podstawy za pomocą tych oznaczeń. Wykorzystaj twierdzenie cosinusów, by uzależnić cosinus interesującego nas kąta od długości krawędzi w graniastosłupie. Wykorzystaj definicję sinusa, żeby uprościć równanie (oraz żeby zależało wyłącznie od podanych w treści zadania kątów utworzonych przez przekątne ścian bocznych).
Ćwiczenie A.
252Ćwiczenie B.
253Ćwiczenie C.
253Zadanie 3.
255Zadanie 7.
256Zadanie 8.
256Zadanie 9.
256Zadanie 10.
257Zadanie 11.
257Zadanie 18.
260Zadanie 19.
260Zadanie 23.
261Zadanie 24.
261Zadanie 25.
261Przykład 1.
263Zadanie 1.
264Zadanie 2.
264Zadanie 5.
264Zadanie 6.
265Zadanie 8.
265Zadanie 9.
265Zadanie 10.
265Ćwiczenie A.
267Przykład 3.
273Zadanie 1.
274Zadanie 4.
274Zadanie 7.
274Zadanie 10.
275Zadanie 11.
275Zadanie 12.
275Zadanie 14.
275Zadanie 17.
276Zadanie 1.
281Zadanie 2.
281Zadanie 3.
281Zadanie 4.
282Zadanie 6.
282Zadanie 8.
282Zadanie 10.
283Zadanie 11.
283Zadanie 12.
283Zadanie 13.
283Zadanie 14.
283Zadanie 19.
284Zadanie S1.
284Ćwiczenie B.
286Zadanie 1.
288Zadanie 2.
288Zadanie 3.
288Zadanie 7.
289Zadanie 9.
289Zadanie 14.
290Zadanie 15.
290Zadanie 3.
292Zadanie 5.
292