Dany jest pewien czworościan foremny. Środki jego krawędzi połączono w taki sposób, że stanowią one wierzchołki ośmiościanu foremnego. Oblicz stosunek objętości tych brył foremnych.
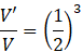
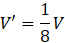
Przyjrzyj się jednemu z wyciętych przez połączenie środków ścian ostrosłupowi. Krawędzie jego podstawy są zbudowane z linii środkowych ścian bocznych, a krawędzie boczne mają połowę długości krawędzi czworościanu, z którego powstały. Wynika z tego, że powstały w ten sposób ostrosłup jest czworościanem, oraz jego skala podobieństwa wynosi
Niech objętość czworościanu będzie równa
Zauważ, że w wyniku utworzenia ośmiościanu foremnego powstały cztery identyczne czworościany. Objętość ośmiościanu jest równa różnicy:
Objętości czworościanu i ośmiościanu z tego zadania są więc w proporcji:
2 : 1
Zauważ, że konstrukcja ośmiościanu w sposób podany w zadaniu wycina cztery czworościany podobne. Wykorzystaj fakt, że środek odcinka dzieli ten odcinek na dwie równe części i oblicz skalę podobieństwa tych podobnych brył. Objętość ośmiościanu jest wtedy równa objętości czworościanu minus objętości czworościanów podobnych.
Ćwiczenie A.
252Ćwiczenie B.
253Ćwiczenie C.
253Zadanie 3.
255Zadanie 7.
256Zadanie 8.
256Zadanie 9.
256Zadanie 10.
257Zadanie 11.
257Zadanie 18.
260Zadanie 19.
260Zadanie 23.
261Zadanie 24.
261Zadanie 25.
261Przykład 1.
263Zadanie 1.
264Zadanie 2.
264Zadanie 5.
264Zadanie 6.
265Zadanie 8.
265Zadanie 9.
265Zadanie 10.
265Ćwiczenie A.
267Przykład 3.
273Zadanie 1.
274Zadanie 4.
274Zadanie 7.
274Zadanie 10.
275Zadanie 11.
275Zadanie 12.
275Zadanie 14.
275Zadanie 17.
276Zadanie 1.
281Zadanie 2.
281Zadanie 3.
281Zadanie 4.
282Zadanie 6.
282Zadanie 8.
282Zadanie 10.
283Zadanie 11.
283Zadanie 12.
283Zadanie 13.
283Zadanie 14.
283Zadanie 19.
284Zadanie S1.
284Ćwiczenie B.
286Zadanie 1.
288Zadanie 2.
288Zadanie 3.
288Zadanie 7.
289Zadanie 9.
289Zadanie 14.
290Zadanie 15.
290Zadanie 3.
292Zadanie 5.
292