Dany jest pewien graniastosłup o objętości 𝑉 wraz z punktem 𝑃 zawartym wewnątrz tego graniastosłupa. Z graniastosłupa wycięto dwa ostrosłupy o podstawach będących podstawami graniastosłupa o wspólnym wierzchołku w punkcie 𝑃. Oblicz, jaka część objętości pozostała po wycięciu tych ostrosłupów.
Objętość prostopadłościanu jest równa:
Podstawy ostrosłupów są równe podstawie graniastosłupa:
Suma wysokości ostrosłupów jest równa wysokości graniastosłupa:
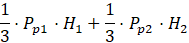
Objętość wyciętych ostrosłupów jest równa:
Czyli objętość pozostała po wycięciu tych ostrosłupów jest równa:
Odp. Pozostała objętość stanowi
Wykorzystaj wzory na objętość ostrosłupa i prostopadłościanu oraz ograniczenia podane w treści zadania.
Ćwiczenie A.
252Ćwiczenie B.
253Ćwiczenie C.
253Zadanie 3.
255Zadanie 7.
256Zadanie 8.
256Zadanie 9.
256Zadanie 10.
257Zadanie 11.
257Zadanie 18.
260Zadanie 19.
260Zadanie 23.
261Zadanie 24.
261Zadanie 25.
261Przykład 1.
263Zadanie 1.
264Zadanie 2.
264Zadanie 5.
264Zadanie 6.
265Zadanie 8.
265Zadanie 9.
265Zadanie 10.
265Ćwiczenie A.
267Przykład 3.
273Zadanie 1.
274Zadanie 4.
274Zadanie 7.
274Zadanie 10.
275Zadanie 11.
275Zadanie 12.
275Zadanie 14.
275Zadanie 17.
276Zadanie 1.
281Zadanie 2.
281Zadanie 3.
281Zadanie 4.
282Zadanie 6.
282Zadanie 8.
282Zadanie 10.
283Zadanie 11.
283Zadanie 12.
283Zadanie 13.
283Zadanie 14.
283Zadanie 19.
284Zadanie S1.
284Ćwiczenie B.
286Zadanie 1.
288Zadanie 2.
288Zadanie 3.
288Zadanie 7.
289Zadanie 9.
289Zadanie 14.
290Zadanie 15.
290Zadanie 3.
292Zadanie 5.
292