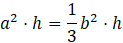
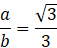
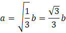
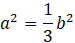
Dane są dwie bryły prawidłowe: graniastosłup i ostrosłup czworokątny. Bryły te mają równe wysokości oraz objętości. Oblicz stosunek między długościami krawędzi ich podstaw.
Oznacz długość krawędzi podstawy graniastosłupa jako 𝑎, a krawędzi podstawy ostrosłupa jako 𝑏. Wykorzystaj wzory na objętości graniastosłupa i ostrosłupa, żeby zapisać równość objętości:
Wykorzystaj odpowiednie wzory na objętość, by policzyć stosunek długości krawędzi podstawy, dla których objętości brył są równe.
Ćwiczenie A.
252Ćwiczenie B.
253Ćwiczenie C.
253Zadanie 3.
255Zadanie 7.
256Zadanie 8.
256Zadanie 9.
256Zadanie 10.
257Zadanie 11.
257Zadanie 18.
260Zadanie 19.
260Zadanie 23.
261Zadanie 24.
261Zadanie 25.
261Przykład 1.
263Zadanie 1.
264Zadanie 2.
264Zadanie 5.
264Zadanie 6.
265Zadanie 8.
265Zadanie 9.
265Zadanie 10.
265Ćwiczenie A.
267Przykład 3.
273Zadanie 1.
274Zadanie 4.
274Zadanie 7.
274Zadanie 10.
275Zadanie 11.
275Zadanie 12.
275Zadanie 14.
275Zadanie 17.
276Zadanie 1.
281Zadanie 2.
281Zadanie 3.
281Zadanie 4.
282Zadanie 6.
282Zadanie 8.
282Zadanie 10.
283Zadanie 11.
283Zadanie 12.
283Zadanie 13.
283Zadanie 14.
283Zadanie 19.
284Zadanie S1.
284Ćwiczenie B.
286Zadanie 1.
288Zadanie 2.
288Zadanie 3.
288Zadanie 7.
289Zadanie 9.
289Zadanie 14.
290Zadanie 15.
290Zadanie 3.
292Zadanie 5.
292