Oblicz miarę kąta nachylenia ściany bocznej do podstawy wiedząc, że narysowany ostrosłup jest prawidłowy.
Odległość spodka wysokości ściany bocznej od spodka wysokości bryły wynosi jedną trzecią wysokości podstawy, czyli
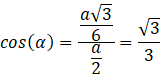
Oblicz miarę kąta, wykorzystując definicję funkcji trygonometrycznych:
Odp. Ściana boczna jest nachylona do podstawy pod kątem około 55°.
Oblicz długość odcinka łączącego spodek wysokości ściany bocznej oraz spodek wysokości bryły wykorzystując fakt, że środek trójkąta równobocznego dzieli jego wysokość na odcinki o długościach w stosunku 2 : 1. Odcinek ten oraz zaznaczona już na rysunku wysokość ściany bocznej tworzą odpowiednio przyprostokątną przyległą do poszukiwanego kąta oraz przeciwprostokątną. Wykorzystaj cosinus kąta, by uzależnić miarę kąta od długości krawędzi w ostrosłupie. Obliczamy przybliżoną wartość funkcji odwrotnej do cosinusa. Skorzystaj z tablic wartości funkcji trygonometrycznych lub kalkulatora.
Ćwiczenie A.
252Ćwiczenie B.
253Ćwiczenie C.
253Zadanie 3.
255Zadanie 7.
256Zadanie 8.
256Zadanie 9.
256Zadanie 10.
257Zadanie 11.
257Zadanie 18.
260Zadanie 19.
260Zadanie 23.
261Zadanie 24.
261Zadanie 25.
261Przykład 1.
263Zadanie 1.
264Zadanie 2.
264Zadanie 5.
264Zadanie 6.
265Zadanie 8.
265Zadanie 9.
265Zadanie 10.
265Ćwiczenie A.
267Przykład 3.
273Zadanie 1.
274Zadanie 4.
274Zadanie 7.
274Zadanie 10.
275Zadanie 11.
275Zadanie 12.
275Zadanie 14.
275Zadanie 17.
276Zadanie 1.
281Zadanie 2.
281Zadanie 3.
281Zadanie 4.
282Zadanie 6.
282Zadanie 8.
282Zadanie 10.
283Zadanie 11.
283Zadanie 12.
283Zadanie 13.
283Zadanie 14.
283Zadanie 19.
284Zadanie S1.
284Ćwiczenie B.
286Zadanie 1.
288Zadanie 2.
288Zadanie 3.
288Zadanie 7.
289Zadanie 9.
289Zadanie 14.
290Zadanie 15.
290Zadanie 3.
292Zadanie 5.
292