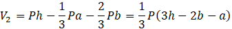
Dany jest graniastosłup prosty trójkątny o polu podstawy 𝑃 i wysokości 𝘩. Podzielono go na trzy części tak, jak pokazano na rysunku. Oblicz objętość każdej z tych brył.
Objętość graniastosłupa prostego trójkątnego ma się jak:
Ostrosłup na wierzchu o wysokości
Ostrosłup na spodzie nie ma wysokości opuszczonej na podstawę graniastosłupa, którego pole znasz. Zauważ jednak, że objętość tego ostrosłupa jest równa różnicy objętości graniastosłupa o wysokości 𝑏 i polu podstawy 𝑃 oraz ostrosłupa o tej samej wysokości i podstawie:
Objętość ostatniej bryły to objętość graniastosłupa minus objętość dwóch ostrosłupów:
Odp.
Wykorzystaj wzory na objętość graniastosłupa i ostrosłupa oraz ograniczenia zawarte w treści zadania oraz na rysunku.
Ćwiczenie A.
252Ćwiczenie B.
253Ćwiczenie C.
253Zadanie 3.
255Zadanie 7.
256Zadanie 8.
256Zadanie 9.
256Zadanie 10.
257Zadanie 11.
257Zadanie 18.
260Zadanie 19.
260Zadanie 23.
261Zadanie 24.
261Zadanie 25.
261Przykład 1.
263Zadanie 1.
264Zadanie 2.
264Zadanie 5.
264Zadanie 6.
265Zadanie 8.
265Zadanie 9.
265Zadanie 10.
265Ćwiczenie A.
267Przykład 3.
273Zadanie 1.
274Zadanie 4.
274Zadanie 7.
274Zadanie 10.
275Zadanie 11.
275Zadanie 12.
275Zadanie 14.
275Zadanie 17.
276Zadanie 1.
281Zadanie 2.
281Zadanie 3.
281Zadanie 4.
282Zadanie 6.
282Zadanie 8.
282Zadanie 10.
283Zadanie 11.
283Zadanie 12.
283Zadanie 13.
283Zadanie 14.
283Zadanie 19.
284Zadanie S1.
284Ćwiczenie B.
286Zadanie 1.
288Zadanie 2.
288Zadanie 3.
288Zadanie 7.
289Zadanie 9.
289Zadanie 14.
290Zadanie 15.
290Zadanie 3.
292Zadanie 5.
292