Dany jest pewien stożek o wysokości 10 cm. Przeprowadzono przez ten stożek płaszczyznę równoległą do podstawy w taki sposób, że dystans między tą płaszczyzną a płaszczyzną podstawy wynosi 6 cm. Oblicz stosunek objętości większej z brył powstałych przez przecięcie stożka płaszczyzną do całości ostrosłupa. Wskaż ten stosunek spośród podanych odpowiedzi.
A.
B.
C.
D.
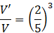
Oblicz skalę podobieństwa stożka o podstawie z przekroju do całego stożka:
Oblicz stosunek objętości tych stożków, znając skalę podobieństwa:
Objętość wyciętego stożka jest mniejsza niż połowa objętości całego stożka, czyli ostrosłup ścięty to większa z dwóch brył. Jego objętość jest równa różnicy dwóch objętości:
Odp. C.
Wykorzystaj podane w treści zadania długości, żeby obliczyć skalę podobieństwa stożków w zadaniu. Oblicz objętość mniejszego stożka jako ułamek objętości całego stożka. Objętość stożka ściętego względem całej bryły jest równa różnicy objętości całej bryły i stożka o podstawie z przekroju.
Ćwiczenie A.
252Ćwiczenie B.
253Ćwiczenie C.
253Zadanie 3.
255Zadanie 7.
256Zadanie 8.
256Zadanie 9.
256Zadanie 10.
257Zadanie 11.
257Zadanie 18.
260Zadanie 19.
260Zadanie 23.
261Zadanie 24.
261Zadanie 25.
261Przykład 1.
263Zadanie 1.
264Zadanie 2.
264Zadanie 5.
264Zadanie 6.
265Zadanie 8.
265Zadanie 9.
265Zadanie 10.
265Ćwiczenie A.
267Przykład 3.
273Zadanie 1.
274Zadanie 4.
274Zadanie 7.
274Zadanie 10.
275Zadanie 11.
275Zadanie 12.
275Zadanie 14.
275Zadanie 17.
276Zadanie 1.
281Zadanie 2.
281Zadanie 3.
281Zadanie 4.
282Zadanie 6.
282Zadanie 8.
282Zadanie 10.
283Zadanie 11.
283Zadanie 12.
283Zadanie 13.
283Zadanie 14.
283Zadanie 19.
284Zadanie S1.
284Ćwiczenie B.
286Zadanie 1.
288Zadanie 2.
288Zadanie 3.
288Zadanie 7.
289Zadanie 9.
289Zadanie 14.
290Zadanie 15.
290Zadanie 3.
292Zadanie 5.
292