Oblicz, ile razy większa jest objętość kuli opisanej na czworościanie foremnym od kuli wpisanej w ten czworościan.
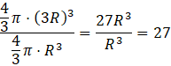
Wiesz z podpunktu a), że promień kuli wpisanej do wysokości czworościanu jest w stosunku 1 : 4. Zauważ, że odcinek łączący środek kuli wpisanej oraz wierzchołek czworościanu to promień kuli opisanej na tym czworościanie. Jeżeli założysz, że promień wpisanego ma długość 𝑅, to otrzymasz:
Odp. Kula opisana ma objętość 27 razy większą od kuli wpisanej.
Wykorzystaj proporcję między promieniem kuli wpisanej a opisanej udowodnioną w podpunkcie a) oraz wzór na objętość kuli.
Ćwiczenie A.
252Ćwiczenie B.
253Ćwiczenie C.
253Zadanie 3.
255Zadanie 7.
256Zadanie 8.
256Zadanie 9.
256Zadanie 10.
257Zadanie 11.
257Zadanie 18.
260Zadanie 19.
260Zadanie 23.
261Zadanie 24.
261Zadanie 25.
261Przykład 1.
263Zadanie 1.
264Zadanie 2.
264Zadanie 5.
264Zadanie 6.
265Zadanie 8.
265Zadanie 9.
265Zadanie 10.
265Ćwiczenie A.
267Przykład 3.
273Zadanie 1.
274Zadanie 4.
274Zadanie 7.
274Zadanie 10.
275Zadanie 11.
275Zadanie 12.
275Zadanie 14.
275Zadanie 17.
276Zadanie 1.
281Zadanie 2.
281Zadanie 3.
281Zadanie 4.
282Zadanie 6.
282Zadanie 8.
282Zadanie 10.
283Zadanie 11.
283Zadanie 12.
283Zadanie 13.
283Zadanie 14.
283Zadanie 19.
284Zadanie S1.
284Ćwiczenie B.
286Zadanie 1.
288Zadanie 2.
288Zadanie 3.
288Zadanie 7.
289Zadanie 9.
289Zadanie 14.
290Zadanie 15.
290Zadanie 3.
292Zadanie 5.
292