Udowodnij, że promień kuli wpisanej w czworościan foremny jest cztery razy mniejszy od wysokości ostrosłupa.
D:
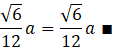
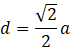
Niech dany będzie czworościan o krawędzi długości 𝑎. Kula wpisana w czworościan foremny jest styczna do środków wszystkich jego ścian. Poprowadź dwie wysokości ścian. Otrzymasz w ten sposób trójkąt równoramienny. Oblicz długość pomarańczowego odcinka:
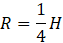
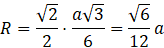
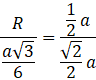
Zauważ, że trójkąty: o przyprostokątnej długości 𝑑 oraz przyprostokątnej długości 𝑅, są podobne z zasady kąt – kąt – kąt i wykorzystaj ten fakt, by wyznaczyć długość 𝑅 za pomocą odpowiednich proporcji:
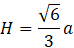
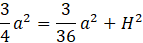
Oblicz wysokość czworościanu foremnego:
Podstaw wyliczone wartości do tezy:
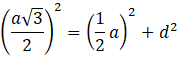
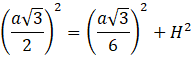
Wykorzystaj wartości charakterystycznych odcinków w trójkącie równobocznym, twierdzenie Pitagorasa oraz podobieństwo trójkątów, by wyznaczyć długość promienia wpisanej kuli oraz wysokości czworościanu.
Ćwiczenie A.
252Ćwiczenie B.
253Ćwiczenie C.
253Zadanie 3.
255Zadanie 7.
256Zadanie 8.
256Zadanie 9.
256Zadanie 10.
257Zadanie 11.
257Zadanie 18.
260Zadanie 19.
260Zadanie 23.
261Zadanie 24.
261Zadanie 25.
261Przykład 1.
263Zadanie 1.
264Zadanie 2.
264Zadanie 5.
264Zadanie 6.
265Zadanie 8.
265Zadanie 9.
265Zadanie 10.
265Ćwiczenie A.
267Przykład 3.
273Zadanie 1.
274Zadanie 4.
274Zadanie 7.
274Zadanie 10.
275Zadanie 11.
275Zadanie 12.
275Zadanie 14.
275Zadanie 17.
276Zadanie 1.
281Zadanie 2.
281Zadanie 3.
281Zadanie 4.
282Zadanie 6.
282Zadanie 8.
282Zadanie 10.
283Zadanie 11.
283Zadanie 12.
283Zadanie 13.
283Zadanie 14.
283Zadanie 19.
284Zadanie S1.
284Ćwiczenie B.
286Zadanie 1.
288Zadanie 2.
288Zadanie 3.
288Zadanie 7.
289Zadanie 9.
289Zadanie 14.
290Zadanie 15.
290Zadanie 3.
292Zadanie 5.
292