Pewna fikcyjna rasa przypominała dwunastokrotnie zmniejszonych ludzi. O ich kośćcu wiadomo było, że może unieść masę ciała równą masie przeciętnego człowieka pomniejszoną tyle razy, ile razy słabsze kości tej rasy są od kości ludzkich. Zakładając, że przeciętna masa ciała tej wyjątkowej rasy jest proporcjonalna do masy ciała przeciętnego człowieka oblicz, ile razy względem swojej masy ciała musi przybrać na wadze przedstawiciel tej rasy, by osiągnąć maksymalną bezpieczną wagę.
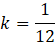
W treści zadania podaną mamy skalę podobieństwa:
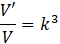
Stosunek objętości wynosi:
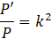
Wytrzymałość kości zależy od pola przekroju kości, czyli stosunek wytrzymałości kośćca wynosi:
czyli maksymalna masa ciała tej rasy jest równa:
Stosunek standardowej wagi do maksymalnej wagi wynosi:
Odp. Przedstawiciel tej fikcyjnej rasy może przytyć 12 razy swoją masę ciała bez szkody dla kośćca.
Oblicz skalę podobieństwa z podanych w zadaniu wielkości, a następnie wykorzystaj relacje między polami figur podobnych a kwadratem skali podobieństwa oraz objętościami brył podobnych a sześcianem skali podobieństwa.
Ćwiczenie A.
252Ćwiczenie B.
253Ćwiczenie C.
253Zadanie 3.
255Zadanie 7.
256Zadanie 8.
256Zadanie 9.
256Zadanie 10.
257Zadanie 11.
257Zadanie 18.
260Zadanie 19.
260Zadanie 23.
261Zadanie 24.
261Zadanie 25.
261Przykład 1.
263Zadanie 1.
264Zadanie 2.
264Zadanie 5.
264Zadanie 6.
265Zadanie 8.
265Zadanie 9.
265Zadanie 10.
265Ćwiczenie A.
267Przykład 3.
273Zadanie 1.
274Zadanie 4.
274Zadanie 7.
274Zadanie 10.
275Zadanie 11.
275Zadanie 12.
275Zadanie 14.
275Zadanie 17.
276Zadanie 1.
281Zadanie 2.
281Zadanie 3.
281Zadanie 4.
282Zadanie 6.
282Zadanie 8.
282Zadanie 10.
283Zadanie 11.
283Zadanie 12.
283Zadanie 13.
283Zadanie 14.
283Zadanie 19.
284Zadanie S1.
284Ćwiczenie B.
286Zadanie 1.
288Zadanie 2.
288Zadanie 3.
288Zadanie 7.
289Zadanie 9.
289Zadanie 14.
290Zadanie 15.
290Zadanie 3.
292Zadanie 5.
292