Niech dany będzie sześcian o krawędzi długości 1. Płaszczyzna zawiera krawędź podstawy, a kąt dwuścienny między płaszczyzną przekroju a płaszczyzną podstawy jest równy 30°. Oblicz pole tego przekroju.
Wykorzystaj tangens kąta dwuściennego między płaszczyzną przekroju a płaszczyzną podstawy, by sprawdzić, czy przekrój przecina przeciwległą ścianę:
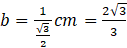
Nierówność jest prawdziwa, więc przeciwległa ściana zawiera bok przekroju. Wykorzystaj cosinus kąta, by obliczyć długość drugiego boku przekroju:
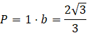
Oblicz pole przekroju:
Sprawdź, czy płaszczyzna przecina przeciwległy bok, czy podstawę. Wylicz bok przekroju za pomocą definicji funkcji trygonometrycznych, a następnie pole przekroju.
Ćwiczenie A.
252Ćwiczenie B.
253Ćwiczenie C.
253Zadanie 3.
255Zadanie 7.
256Zadanie 8.
256Zadanie 9.
256Zadanie 10.
257Zadanie 11.
257Zadanie 18.
260Zadanie 19.
260Zadanie 23.
261Zadanie 24.
261Zadanie 25.
261Przykład 1.
263Zadanie 1.
264Zadanie 2.
264Zadanie 5.
264Zadanie 6.
265Zadanie 8.
265Zadanie 9.
265Zadanie 10.
265Ćwiczenie A.
267Przykład 3.
273Zadanie 1.
274Zadanie 4.
274Zadanie 7.
274Zadanie 10.
275Zadanie 11.
275Zadanie 12.
275Zadanie 14.
275Zadanie 17.
276Zadanie 1.
281Zadanie 2.
281Zadanie 3.
281Zadanie 4.
282Zadanie 6.
282Zadanie 8.
282Zadanie 10.
283Zadanie 11.
283Zadanie 12.
283Zadanie 13.
283Zadanie 14.
283Zadanie 19.
284Zadanie S1.
284Ćwiczenie B.
286Zadanie 1.
288Zadanie 2.
288Zadanie 3.
288Zadanie 7.
289Zadanie 9.
289Zadanie 14.
290Zadanie 15.
290Zadanie 3.
292Zadanie 5.
292