Dany jest pewien stożek. Przeprowadzono przez niego płaszczyznę równoległą do podstawy w taki sposób, że pole przekroju bryły utworzonego przez tę płaszczyznę jest dwa razy mniejsze od pola podstawy. Oblicz stosunek odcinków, na które płaszczyzna przekroju bryły dzieli wysokość stożka.
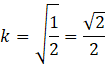
Zauważ, że oryginalny stożek oraz stożek o podstawie z przekroju bryły to bryły podobne. Za pomocą stosunku pól ich podstaw możesz obliczyć skalę podobieństwa:
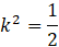
Wiedząc, że
Wysokość stożka o podstawie z przekroju jest równa
wysokości całej bryły.
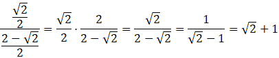
Stosunek odcinków utworzonych z wysokości przez płaszczyznę wynosi:
Wykorzystaj relację między podobnymi polami podstawy a kwadratem skali podobieństwa, by obliczyć skalę podobieństwa brył. Płaszczyzna dzieli wysokość na odcinki o długości
Ćwiczenie A.
252Ćwiczenie B.
253Ćwiczenie C.
253Zadanie 3.
255Zadanie 7.
256Zadanie 8.
256Zadanie 9.
256Zadanie 10.
257Zadanie 11.
257Zadanie 18.
260Zadanie 19.
260Zadanie 23.
261Zadanie 24.
261Zadanie 25.
261Przykład 1.
263Zadanie 1.
264Zadanie 2.
264Zadanie 5.
264Zadanie 6.
265Zadanie 8.
265Zadanie 9.
265Zadanie 10.
265Ćwiczenie A.
267Przykład 3.
273Zadanie 1.
274Zadanie 4.
274Zadanie 7.
274Zadanie 10.
275Zadanie 11.
275Zadanie 12.
275Zadanie 14.
275Zadanie 17.
276Zadanie 1.
281Zadanie 2.
281Zadanie 3.
281Zadanie 4.
282Zadanie 6.
282Zadanie 8.
282Zadanie 10.
283Zadanie 11.
283Zadanie 12.
283Zadanie 13.
283Zadanie 14.
283Zadanie 19.
284Zadanie S1.
284Ćwiczenie B.
286Zadanie 1.
288Zadanie 2.
288Zadanie 3.
288Zadanie 7.
289Zadanie 9.
289Zadanie 14.
290Zadanie 15.
290Zadanie 3.
292Zadanie 5.
292